Tsaifucius' Natural Healing 自然禪
小棲蘭建安
Index 索引
首頁
自然禪養生農場
小棲蘭建安
簡史
學理探討
自然運動
心法
肢體語言
森林療愈
整健反應
棲蘭山
心得分享
點燈與法會
購物
佈告欄
聯絡
2020年7月1日 星期三
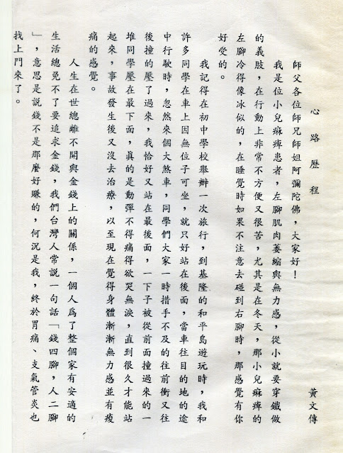
自然禪練功心得分享---民國82,83年
注意:自然禪練功心得分享只是歷年來自然禪練功者自己心得的分享,不能作為醫療診治的參考,也不是醫學報告。讀者如有醫療問題,應自行判斷就醫。自然禪只是提供一種運動保健的方法而已。
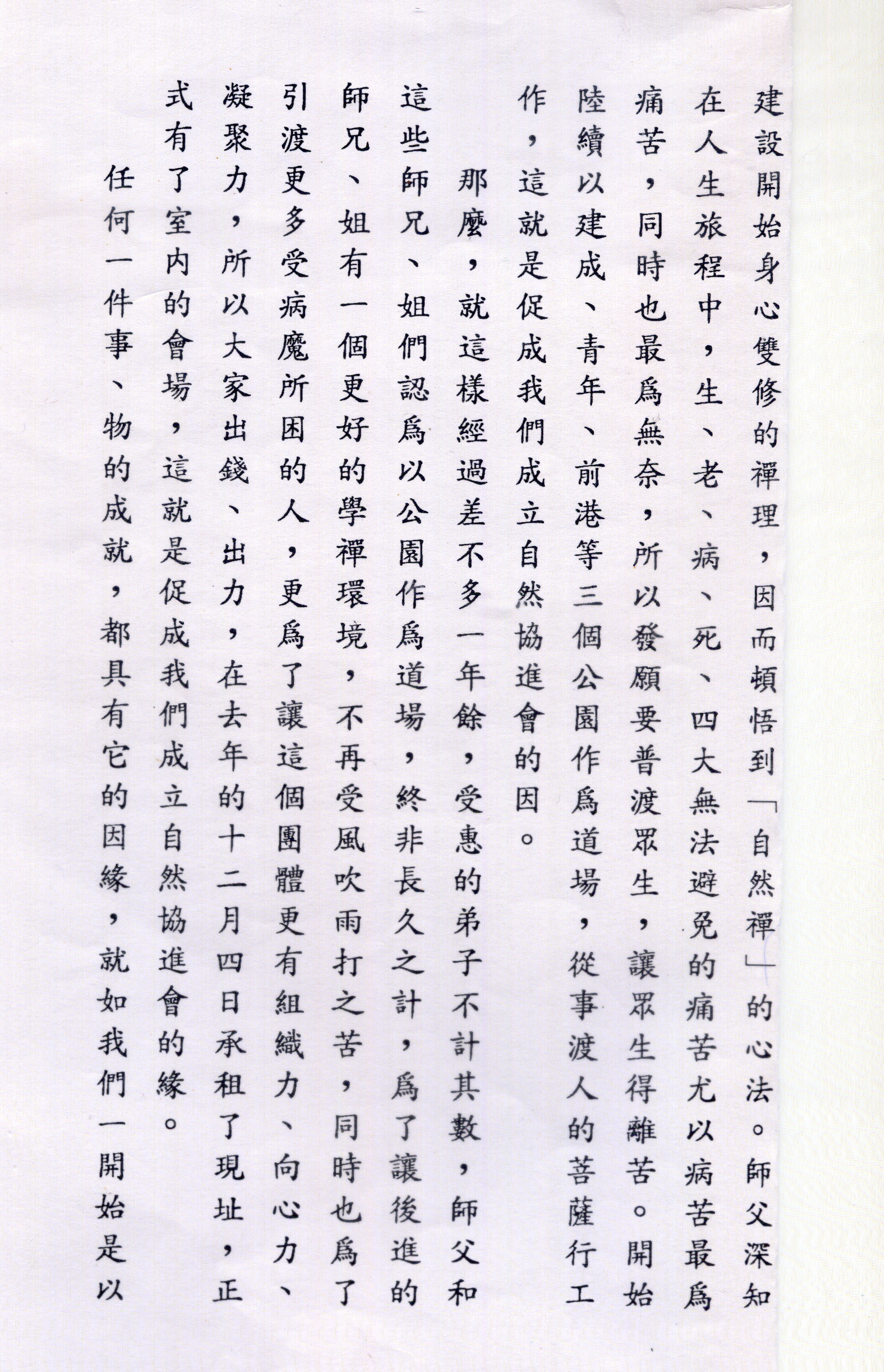
民國82,83年師兄姐練功心得
民國82,83年師兄姐練功心得1
民國82,83年師兄姐練功心得2
民國82,83年師兄姐練功心得3
民國82,83年師兄姐練功心得4
民國82,83年師兄姐練功心得5
民國82,83年師兄姐練功心得6
民國82,83年師兄姐練功心得7
民國82,83年師兄姐練功心得8
民國82,83年師兄姐練功心得9
民國82,83年師兄姐練功心得10
民國82,83年師兄姐練功心得11
民國82,83年師兄姐練功心得12
民國82,83年師兄姐練功心得13
民國82,83年師兄姐練功心得1
民國82,83年師兄姐練功心得14
民國82,83年師兄姐練功心得15
民國82,83年師兄姐練功心得16
沒有留言:
張貼留言
較新的文章
較舊的文章
首頁
訂閱:
張貼留言 (Atom)
沒有留言:
張貼留言